Gradien Garis Lurus
1. 2 Gradien Garis Lurus
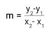
Gradien adalah nilai yang yang dihasilkan dari perbandingan koordinat dan absis yang menyatakan kemiringan suatu garis. Gradien dilambangkan dengan huruf m dan dapat dirumuskan sebagai berikut:
Terdapat beberapa cara untuk menentukan gradien pada suatu persamaan garis:
1. Gradien dari dua titik P(x1, y1) dan Q(x2,y2)
Contoh: Tentukan gradien suatu garis lurus yang melalui titik A (1, 1) dan titik B (3, 5)!
Pembahasan:
Diketahui:
Titik A (1, 1) maka x1 = 1 dan y1 = 1
Titik B (3, 5) maka x2 = 3 dan y2 = 5
Maka, gradiennya adalah

2. Gradien pada garis dari persamaan garis lurus
a. Jika persamaan garis lurus berbentuk:
y = mx + c maka gradien = m
Contoh:
Tentukan gradien dari garis 12 - 6y = 18x!
Pembahasan:
12 - 6y = 18x
- 6y = 18x - 12
- 6y = 18x - 12 (dibagi -6)
y = 3x + 2
Maka, gradiennya yaitu: m = 3
b. Jika persamaan garis lurus berbentuk:
Gradien garis bentuk persamaan ax + by + c = 0 harus diubah menjadi bentuk
y = mx + c
Contoh:
Tentukan gradien dari garis 3y - 2x + 4 = 0!
Pembahasan:




Posting Komentar untuk "Gradien Garis Lurus"